川村所長の勉強会参加記録
2025.12.07
心アミロイドーシスの診療ガイドライン2025Ver.2 遠藤仁先生
2025年11月7日
演題「ATTR-CM診療Ver2.0」
演者:慶應義塾大学医学部 循環器内科専任講師
場所: 横浜ベイホテル東急
内容及び補足「
2020年3月13日に心アミロイドーシス診療ガイドラインが発行された(2020年8月20日更新)。
https://www.j-circ.or.jp/cms/wp-content/uploads/2020/02/JCS2020_Kitaoka.pdf
アミロイドーシスは、折りたたみ異常を起こした前駆タンパク質が、特有のβシート構造に富むアミロイド線維を形成し、前心の様々な臓器に沈着することで機能障害を起こす疾患の総称である。
アミロイド前駆蛋白は、30種類以上同定されており、このうち、免疫グロブリン軽鎖、トランスサイレチン(TTR)、Amyloid A蛋白(AA)等で形成されるアミロイドは心臓に蓄積し、心機能障害をきたす。

ATTRアミロイドーシスはトランスサイレチン遺伝子に変異のある遺伝性トランスサイレチン(ATTRv)アミロイドーシス(旧病名:家族性アミロイドポリニューロパチー:FAP)と、変異のない全身性野生型(ATTRwt)アミロイドーシス(旧病名:老人性全身性アミロイドーシス)に分けられる。
参:2016年の調査でATTRv患者は1865人と推定され、世界的な患者数は10186人と推定された。日本で多い変異はp.V50M
http://amyloidosis-research-committee.jp/guideline/guideline-2025cq1/
AAアミロイドーシスは、関節リウマチ、血管炎症候群、自己免疫疾患などの慢性炎症性疾患に合併するが、蛋白尿や腎不全などの腎障害が主体で、心病変が臨床的に問題になることはまれである。
心アミロイドーシスは、『心臓の間質にアミロイド繊維が沈着し、形態的かつ機能的な異常をきたす病態』である。
病型はALアミロイドーシスとATTRアミロイドーシスに大別される。
臨床症状や検査所見は病警官で共通する点も多い。
心肥大、拡張障害の病態を呈し、収縮障害、房室伝導障害、心房細動、致死性不整脈なども引き起こす。生命予後は、病型や進行度によって異なる。
確定診断は、ATTRwtでは、本症に特徴的な臨床症状や検査所見を認め、組織生検でアミロイドの沈着とトランスサイレチンの前駆蛋白の存在を免疫染色で証明すること、ATTRvでは、本症に特徴的な臨床症状や検査所見を認め、TTR由来のアミロイド沈着が検出され、TTR遺伝子に本症の病原性変性を認めることにより行われていた。



2024年12月に『アミロイドーシス診療ガイドライン2025』が発刊された。
原因となる前駆タンパク質はヒトで42種類同定され、以前のガイドラインから診断や治療においてめまぐるしく発展している。
治療において最も大きな変貌を遂げたのはATTRアミロイドーシスである。ATTRアミロイドーシスは遺伝性(ATTRv)と野生型(ATTRwt)に分類され、主な障害は末梢神経障害(ATTR-PN)と心筋症(ATTR-CM)である。たとえば、タファミジス(商品名:ビンダケル/ビンマック)は、ATTRvアミロイドーシスによる末梢神経障害(ATTRv-PN)の進行抑制に加え、2019年にATTR型心アミロイドーシス(ATTR-CM、野生型および変異型)に適応が拡大。核酸医薬(siRNA)であるパチシラン(同:オンパットロ)やブトリシラン(同:アムヴトラ)はATTRv-PN(トランスサイレチン型家族性アミロイドポリニューロパチー)治療薬として承認されている。さらに、ADによる軽度認知障害および軽度の認知症の進行抑制に対する抗アミロイドβ抗体薬(レカネマブ[同:レケンビ]、ドナネマブ[同:ケサンラ])も2023年以降に相次いで承認された。

https://www.ishiyaku.co.jp/search/details?bookcode=200490
注:ネットで2025年11月23日現在心アミロイドーシス診療ガイドライン2025 Ver.2を検索しても情報が出てこないので、Ver.2の記載内容を確認することができないので、講演で遠藤先生が話した内容をもとに以下に記載します。
2025 Ver.2では、生検を行わず、画像所見から診断できる様に対応している。
心アミロイドーシスの診断において書く医学検査は重要な役割を担う。
骨シンチグラフィである99mTcピロリン酸シンチグラフィはATTR心アミロイドーシスに高い診断能を有している。心筋交感神経イメージングである123I-meta-iodobenzylguanidine(123I-MIBG)は、心アミロイドーシスにおける除神経の検出や心不全の病態変化に有用である。マイロイド特異性トレーサーを使用したアミロイドpositron emission tomography(PET)も前輪商談会の診断に有用である。

99mTcピロリン酸投与の1時間後もしくは3時間後にプラナー造の撮影を行う。1時間後の撮影では検出感度が向上し、3時間後の撮影では検出特異度が向上する。99mTcピロリン酸シンチグラフィをもちいたATTR心アミロイドーシスの診断能は、感度58-99%、特異度79-100%とされ、擬陽性の多くはALアミロイドーシスである。擬陽性の多くはALアミロイドーシスである。ALアミロイドーシスを除外した場合、診断特異度と陽性的中率は100%と報告している研究もある。

視覚的評価法は3時間後撮影画像で立証された手法であり、1時間後撮影画像では血液プールによる高集積を生じうるため、同様の基準を適用すべきでない。視覚的評価がGrade1やGrade2の症例では、ALや血液プールへの生理的集積を鑑別する必要がある。

プラナー撮影にsingle photon emission computed tomography(SPECT)撮影を追加することで、心筋や血液プールへの集積をより正確に評価することができる。
Circ J. 2020 Aug 25;84(9):1610-1671.
https://www.jstage.jst.go.jp/article/circj/84/9/84_CJ-20-0110/_pdf/-char/en
2018年4月から2022年7月までの5400例の診察症例のうち4420件の今後レッド陽性症例のうち4119件で免疫組織化学によるアミロイドーシスのタイプを特定した。AA:3.2%、ALκ:11.3%、ALλ:54.9%、ATTR:0.6%、Aβ2M:1.8%の発症率であった。2208件の心筋生検のうち1503件がATTR陽性だった。
Amyloid. 2023 Sep;30(3):321-326.
https://www.tandfonline.com/doi/full/10.1080/13506129.2023.2180334
心アミロイドーシス診療アルゴリズム
原因不明の心不全や心肥大、大動脈弁狭窄、心電図所見(特に強い伝導障害)を認めた症例では、手根管症候群、脊柱管狭窄症、末梢神経障害、自律神経障害、拒絶がないかどうかをチェックする。
その後、血液検査、心電図、心エコー、心臓MRI検査を行い、M蛋白の検査および99mTcピロリン酸シンチグラフィを行う。
熊本大学が開発したKumamoto Criteriaで、2項目が該当すれば、99mTcピロリン酸シンチグラフィの陽性率は63%、3項目すべてが該当すれば陽性率は96%と報告されている。

参:
ATTR-CM診断基準(Kumamoto Criteria)を用いたスクリーニング法


Circ J 2019; 83: 1698 – 1708
https://www.jstage.jst.go.jp/article/circj/83/8/83_CJ-19-0255/_pdf/-char/en
ALアミロイドーシスの診断で最も重要なことは、臨床症状、理学所見、心電図、胸部X線、心エコーなどから本症を疑うことである。血清免疫グロブリン、血清及び尿免疫固定法(または電気泳動法)、血清遊離軽鎖(free light chain:FLC)の測定を行う。
ALアミロイドーシス患者581例を対象とした報告では、血清FLCによる検出感度は88.3%、血清FLCによる+血清蛋白泳動で96.2%、血清FLC+血清蛋白電気泳動+血清免疫固定法+尿免疫固定法で98.1%であり、別の報告でも血清FLC+血清免疫固定法+尿免疫固定法で100%との報告もあるが、血清FLCのみで判断するのは不十分である。
各疾患における血清FLCによる値を示す。ALアミロイドーシスでは薬80%の症例がλ型であり、その測定値は50~1000mg/Lの間に分布することが多い。血清FLCは腎機能低下により、κ鎖、λ里もベースラインが上昇するため、絶対値やκ/λヒデ評価するよりは上昇している病的なFLCと上昇していない方のFLCによる差(difference FLC:dFLC)を評価する。dFLCはrevised Mayo stage 2012において予後不良因子の一つになっており、治療効果判定にも用いられる重要な指標である。
形質細胞異常症におけるFLC異常のパターン

2020年版心アミロイドーシス診療ガイドライン P25
https://www.j-circ.or.jp/cms/wp-content/uploads/2020/02/JCS2020_Kitaoka.pdf
治療:
以前は有効な治療薬がなく、心不全の治療がメインとなっていた。一般の心不全の治療薬として使用されていた、アンジオテンシン変換酵素阻害薬、アンジオテンシンⅡ受容体拮抗薬、抗アルドステロン薬やβ遮断薬は拘束障害に基づく心不全には有効性が見いだせなく、血管拡張薬や利尿薬などの神経体液性因子調節薬も使用されていた。

治療薬:タファミジス(ビンマック®)
トランスサイレチン安定化薬と核酸医薬(siRNA)が、ATTRアミロイドーシスの治療薬として保険使用可能となっている。
トランスサイレチンは、本来4量体で安定化するが、遺伝子異常(ATTRv)や加齢性変化(ATTRwt)によってタンパク質自体が正常構造を保てなくなると4量体を作れず、凝集しアミロイド線維を形成する。トランスサイレチン安定化薬タファミジスは、トランスサイレチンに結合することで4量体構造を安定化させて、アミロイド線維を形成しにくくする薬剤である。

参:トランスサイレチンの動画
トランスサイレチンは人体にとって重要な役割を果たす。
単体のトランスサイレチンはレチノールやサイロキシンの輸送を担っている。
トランスサイレチン自体の機能:神経の保護、記憶・認知機能の維持、脳虚血からの保護

https://sys-amy.jp/ttr-plus/ttr
ATTRwtでタファミジスメグルミン併合群201例vsプラセボ群134例、ATTRvでタファミジスメグルミン併合群63例vsプラセボ群43例を対象とした30ヶ月間二重盲検プラセボ対照試験(国際共同第Ⅲ相試験)では、主要評価項目である死因を問わない死亡及び心血管事象に関連する入院頻度を組み合わせた評価項目において、30ヶ月時の生存率はタファミジスメグルミン併合群で70.5%(186/264例)、プラセボ群57.1%(101/177例)、また30ヶ月字の生存患者における心血管関連の入院頻度(1年あたり)の平均は、タファミジスメグルミン併合群で0.30回、プラセボ群で0.46回と有意な差を認めた。(NNT 7.5)

全死亡の割合は、タファミジスメグルミン併合群で29.5%、プラセボ群で42.9%、HR:0.698と有意に死亡リスクを低下させた。

6分間歩行テスト(6MWT)のベースラインからの変化量において、タファミジスメグルミン併合群はプラセボ群に比較し、6ヶ月時から有意な差を認めた。

https://www.pfizerpro.jp/medicine/vyndaqel/product/attr-cm-vyndaqel/01
ATTR-ACTへの長期延長からの長期有効性に関する研究では、断続的タファミジス群の中央値観察期間58.5ヶ月(176例)、プラセボからタファミジス群は57.1ヶ月(177例)、断続的なタファミジスによる死亡例は79例(44.9%)プラセボからタファミジスによる死亡例は111例(62.7%)で有意に死亡率が減少した(HR:0.59)。ATTRvではHR:0.57、ATTRwtではHR:0.61、ベースラインのNYHAのClassⅠではHR:0.56、ClassⅡではHR:0.65であった。つまり、タファミジスを投与した患者は、プラセボで最初に治療した患者らよりも生存率が大幅に向上し、ATTR-CMにおける早期診断と早期の治療が重要であることが示唆される結果であった。

Circ Heart Fail. 2022 Jan;15(1):e008193.
https://www.ahajournals.org/doi/10.1161/CIRCHEARTFAILURE.120.008193
ATTR-ACTのベースラインでNYHAのClassⅠ・Ⅱで連続的なタファミジス投与群(121例)、プラセボからタファミジス投与群(114例)、NYHAのClassⅢで連続的なタファミジス投与群(55例)、プラセボからタファミジス投与群(63例)、の比較で、ClassⅠ・Ⅱ、ClassⅢともにプラセボ後にタファミジスを投与された群よりも、連続的なタファミジス投与群において全死亡率の減少を有意に認めた。

Eur J Heart Fail. 2023 Nov;25(11):2060-2064.
https://onlinelibrary.wiley.com/doi/10.1002/ejhf.2974
参:
デンマークの二つのコホート研究16967例対照の全国市民登録システムを使用して、自記式質問票、身体検査及び血液検査からデータを取得し、TTRのパーセンタイルによって層別化された血液検査からの経過年数の関数としての心不全累積発生率を算出した。TTR低値群、TTR中間群、TTR交趾郡に分けられ経過を見てみると、低値群では、他の2群より心不全発症リスクが有意に高かった。

JAMA Cardiol. 2021; 6(3) 258-266.
https://jamanetwork.com/journals/jamacardiology/fullarticle/2773327
生検でATTRwt-CMが証明された患者101例を追跡期間中に治療を受けなかった患者をベースラインのTAR値によって層別化し生存率を比較した。TTR低値群は交趾郡と比較し生存期間が短かった。

Circ Heart Fail. 2018; 11(2): e004000.
https://www.ahajournals.org/doi/10.1161/CIRCHEARTFAILURE.117.004000
タファミジス治療患者の生存率は、30ヶ月と42ヶ月で84.8%と76.8%であり未治療患者では70.0%および59.3%であった。

Transthyretin Amyloidosis Outcomes Survey(THAOS)
J Cadiac Failure 2025 31 525-533
https://onlinejcf.com/article/S1071-9164(24)00222-7/fulltext
ATTRwtと診断された253例、ATTRv患者136例、無症状遺伝子保因者77例の医療記録から手根管症候群と脊柱管狭窄症の既往及び心電図や心エコーの結果を解析した。
ATTRv患者77例(56%)、ATTRwt患者152例(60%)、無症状遺伝子保因者10例(13%)に手根管症候群の既往が認められた。手根管症候群の手術から全身性アミロイドーシスの初回診断までの潜伏期間は、ATTRwtで179ヶ月±117ヶ月、ATTRvで66ヶ月±73ヶ月で有意な差を認めた。脊柱管狭窄症はATTRwt患者で36例(14%)、ATTRv患者で7例(5%)であった。
手根管症候群は全身性アミロイドーシス(特に心アミロイドーシス)の将来発症予測に役立つ可能性がある。
Clin Res Cardiol. 2019 Dec;108(12):1324-1330
https://link.springer.com/article/10.1007/s00392-019-01467-1
駆出率が保たれた心不全HFpEFの診断についてEuropean Heart Journalに欧州心臓学会と心不全協会がコンセンサスを2019年に掲載した。
診断のアルゴリズムは、Step Pで、HFpEFと診断される可能性のある患者を特定し、心不全様症状の他の特定原因を除外または特定する。高齢者や女性、併存疾患などの特徴を確認し、標準心エコーで左室駆出率を計測し、BNPの上昇や心房細動などの所見をチェックし、冠動脈疾患、重篤な弁膜症、肺疾患、貧血などの除外すべき疾患の有無を確認する。その後、Step Eを実施し、Step F1へと進む。




European Heart Journal (2019) 40, 3297–3317
https://orbi.uliege.be/bitstream/2268/248181/1/ehz641.pdf
どうやってATTRwt-CMを見つけるか?
ATTRwt-CMは見過ごされがちな病気で、解剖尾データによると85歳以上の成人の25%が心筋に有意なTTRアミロイドの沈着を認めており、メイヨークリニックのデータによると、死亡前に診断されたATTRwt-CM患者の年齢は、47歳から94歳であり、対象患者集団を高齢者に限定するべきではない。
患者の経歴:男性に多くみられる(男女比 25~50:1)、通常は60歳以上。女性では70歳以上で頻度が上昇。
病歴:心不全。ATTRwt-CM診断例の68%に認めている。HFpEFの高齢入院患者の13%がその後ATTRwt-CMと診断されている。手根管症候群(CTS)はATTRwt-CMの初期疾患マーカーとして広く認識されている。手根管症候群の手術を受けた日本人患者700例の調査では、そのうち261例(37%)がアミロイド沈着を認めていた。その他脊柱管狭窄症、上腕二頭筋断裂の既往患者でも疑うべきである。
心電図所見:伝導障害、低電位
心エコー所見:アミロイド線維の沈着による左心室壁厚の増加(特に≧14mm:日本人は≧12mm)
MRI・CT所見:心筋細胞外容積(ECV)の増加
血液検査:NT-proBNP、高感度トロポニンT(hs-TnT)の上昇
治療反応が悪い:ACEi、ARB、ARNI、βブロッカー等の治療反応が悪い。
15~70%に不整脈がみられる。アブレーション後の再発(39ヶ月の追跡期間中に58%が再発性不整脈を認めた)。
ペースメーカー埋め込みが必要な伝導障害:ATTRwt-CMと診断された369例の患者を対象とした後ろ向きコホート研究では、11%が恒久的なペースメーカーを必要とする硬度房室ブロックを発症、7%が平均28ヶ月の追跡期間中に洞機能不全を発症した。
疑似心筋梗塞パターンと冠動脈微小循環障害:異常Q波やRは増高不良などの疑似心筋梗塞パターンはATTRwt-CM患者の18~71%にみられる。
TAVIまたはTAVRが必要な重度のAS:重度のAS患者の役10%にATTRwt-CMが観察されている。

ESC Heart Fail. 2025 Apr;12(2):955-967.
https://onlinelibrary.wiley.com/doi/10.1002/ehf2.15016
2014年4月1日から2021年8月31日の間にATTR-CMと診断された18以上の患者の経過を記録した。
患者の中央値年齢は79歳で239例(79.9%)が男性であった。併存疾患は、心不全87.9%、心房細動/粗動50.2%、伝導障害17.2%であった。それぞれの併存疾患の中央値機関は発症から15.5ヶ月、14.0ヶ月、9.0ヶ月であった。様追完狭窄症23.9%、神経障害13%、手根管症候群7.5%に心外症状として認められた。これらの症状出現から診断までの中央値期間はそれぞれ、19.0ヶ月、5.0ヶ月、18.0ヶ月であった。








Circ J 2025 89 432-441
https://www.jstage.jst.go.jp/article/circj/89/4/89_CJ-24-0666/_pdf/-char/en

https://onpattro.jp/learn-from-experts/round-table-discussion-220409
アミロイドーシスは前心の様々な臓器にアミロイド線維が沈着することで機能障害を起こす進行性の疾患であり、心臓は心筋の構造や機能の他、刺激伝導系にも障害が起こる。またアミロイドポリニューロパチーとして末梢神経障害がよく知られ、音通欠くなどの感覚神経障害や自律神経障害による交代制の下痢・便秘、起立性低血圧、重度の排尿障害、発汗症などもみられる。さらに運動神経障害として、筋力低下による鶏歩がみられ、アミロイドの沈着により手根管症候群もみられる。眼では硝子体混濁が代表的な症状である。


したがって、循環器内科だけでなく、神経内科、腎臓内科、眼科、血液内科、放射線科および病理との連携が必要な疾患である。
https://onpattro.jp/learn-from-experts/round-table-discussion-210421
心アミロイドーシスは単一の検査やバイオマーカで検出することは困難であるので、心アミロイドーシスの可能性があることを示す臨床所見または兆候として8項目のred flagsが提示されている。

JACC Heart Fail 2019 7(8) 709-716
https://www.jacc.org/doi/10.1016/j.jchf.2019.04.010
Red flagsの一つに挙げられているapical sparingは2Dスペックルトラッキング法によるストレイン解析から判断される指標である。apical sparingの判定方法に、心尖部平均LS値を基部の平均LS値と中部平均LS値と基部中隔LS値が1.0以上をapical sparingとする方法と、E波の減衰時間短縮(200msec未満)かつ心尖四腔像の心尖部中隔LS値と基部中隔LS値を除した値が2.1以上と中隔だけで計算する方法が提唱されている。
左室の2Dスペックルトラッキング法によるストレイン解析とBull’s eye表示




A法、B法ともに心アミロイドーシス陽性群に比べ心アミロイドーシス院生群では優位に低値を示した。

B法による心アミロイドーシス診断のapical sparingを予測するROC曲線を下記に示す。解析した結果AUC値0.826、至適cut-off値2.0であった。


Japanese Journal of Medical Ultrasound Technology 49(5): 482-492 (2024)
https://journal.jss.org/10.11272/jss.428/data/index.html
心アミロイドーシスのスクリーニング
心アミロイドーシスは、侵襲的及び非侵襲的の両方の診断基準で診断することができるが、非侵襲的診断基準はATTRのみに認められている。
侵襲的基準には、心臓組織内のアミロイド線維の証明、または侵害政権でアミロイド沈着が認められ、心エコーやCMRで心臓アミロイドーシスの特徴が認められることが含まれる。
非侵襲的基準には、典型的な心エコー/CMR所見と、SPECT grade 2または3の信金放射性トレーサー取り込みが含まれる。


Eur Heart J. 2023 Oct 1;44(37):3503-3626
https://academic.oup.com/eurheartj/article/44/37/3503/7246608?login=false
心臓MRI(CMR)
CMRは心アミロイドーシスに対して高い診断能を有しているが早期病変の診断や病型診断には限界がある。Cine MRIと遅延造影MRI(late gadolinium enhancement:LGE)を予知板診断が一般的である。

Cine MRIは心臓の形態と機能を評価する基本検査の一つである。
心アミロイドーシスは心基部有意の心肥大をきたすことが多く、対称性・前修正肥大が典型と考えられていたが、近年の報告では非対称性肥大、特に非対称性中隔肥大を呈することも少なくないとされる。

遅延造影MRIは心アミロイドーシスにおいて最も確立した診断法の一つである。遅延造影MRIはガドリニウム造影剤投与後10分以降に撮影し、心筋ダメージ(主に線維化)を可視化する撮影法である。
典型的な心アミロイドーシスのLGE所見は
- 左室内膜化有意のびまん性LGE
- 右室壁や左房壁、心室中隔のLGE
- 血液プールの低信号化(dark blood pool)
がある。

参:

ATTR型心アミロイドーシスはAL型心アミロイドーシスに比較して、左室信用席が大きく、左室収縮能が低く、左室信金重量が大きく、遅延造影MRIでの左心室の貫壁性の淡い遅延造影といった所見頻度が高い。
ATTR型心アミロイドーシスでは心基部のみ更新号を認め、心尖部には更新号を認めない“base-apex gradient”(apical sparingの所見!?)も高頻度に認める。
遅延造影MRIと比較
遅延造影では中隔の中層や内膜下有意に造影効果がある。
ピロリン酸シンチでは、遅延造影と一致して集積を認める。

生検でATTRwtと診断された患者を後ろ向きに血清TTA(STTR)、心臓バイオマーカ、心エコーのベースラインと経過観察時で評価した。
測定された116例のSTTR濃度の中央値は23㎎/dLであった。
STTR値<18mg/dL群は、STTR以上18mg/dL群より、生存期間が短かった(2.8年vs4.1年)。

未治療患者のSTTR値はTTR安定剤ジフルニサルで治療された12名の患者に比較して有意に低く、道両群ではSTTRは増加せず、心筋トロポニンⅠ(cTn-Ⅰ)が増加したが、ジフルニサル治療群では、STTRが増加し、cTn-Ⅰ及び左室拍出量が安定化した。


STTR濃度の低下が独立したアウトカム予測因子として、生存期間の短縮と関連していた。
Circ Heart Fail. 2018; 11(2): e004000.
https://www.ahajournals.org/doi/10.1161/CIRCHEARTFAILURE.117.004000
https://www.ahajournals.org/doi/pdf/10.1161/CIRCHEARTFAILURE.117.004000
コペンハーゲン一般集団研究(CGPS:発見コホート 9559例)おびコペンハーゲン市心臓研究(CCHS:再現コホート 7094例)で、血漿TTR濃度を連続して測定した16967例を解析した。
CGPSに登録された9582人のうち、5077人(53.0%)が女性で、中央値の年齢は56歳であった。CCHSに登録された7385人のうち、4452人(60.3%)が女性で、中央値年齢は59歳であった。中央値TTR濃度はCGPSで28.7mg/dL、CCHSで23.1mg/dLであった。

CGPSの血漿TTRレベルが5%以下である参加者は、年齢が高く、女性が多かった。

CGPSとCCHSの統合解析で血漿TTSレベルが5%以下である非土手、心不全の累積発生率が、それ以外の群よりも増加していた。

TTRは23の変異が確認されており、このうち5種類が本研究で同定された。P.T139Mはトランスサイレチン四量体の安定化因子として知られており、トランスサイレチン濃度の約20%増加と関連しており、心不全の発症頻度が低かった。

JAMA Cardiol. 2021; 6(3): 258-266.
https://jamanetwork.com/journals/jamacardiology/fullarticle/2773327
TTR遺伝子変位型では、現在では日本で50種類以上、世界では150種以上が報告されており、日本で最も多いのはVal30Met(p.Val50Met)変異である。
変異でも臨床的な特徴が異なることが知られており、日本の集積地(熊本県、長野県)では若年(20~40代)で発症することが多いのに対して、大分県を含むそれ以外の地域(非集積地)では高齢(50歳以上)で発症する。

https://onpattro.jp/learn-from-experts/round-table-discussion-220524
令和2年4月1日よりオールジャ パンで行う全身性アミロイドーシスコホート研 究(Japan Cohort Study of Systemic Amyloidosis:J-COSSA)研究を開始した。令和4年度総合研究報告書には、ALアミロイドーシス116症例、ATTRvアミロイドーシス135症例、ATTRwtアミロイドーシス1297症例、計1548症例の登録を終えている。令和年度2年度344症例、令和3年度1009症例、令和4年度1548症例と増加している。
https://mhlw-grants.niph.go.jp/system/files/download_pdf/2022/202211014B.pdf

PLoS One. 2017 Apr 5;12(4):e0173336.
https://journals.plos.org/plosone/article?id=10.1371/journal.pone.0173336
参:ATTR-CAにおけるTnT
60歳から85歳で5~15年前に両側手根管症候群の手術を受けた被検査250名の値を測定した。TnT<13ng/Lの場合は値を12ng/Lとした。この集団でATTR-CAと診断された症例は12名(4.8%)であった(すべてATTRwt)。
非ATTR-CA症例238名のうち62名(25.6%)でTnT≧13ng/Lと上昇し中央値は24.2であった。
TnTが高い患者の割合はATTR-CAで有意に多かった。

Int J Cardiol. 2024 Nov 15:415:132469.
https://www.internationaljournalofcardiology.com/article/S0167-5273(24)01091-X/fulltext
参:ATTR心アミロイドーシスの経時的進行に伴う臨床パラメータの推移

Circulation. 2019;140 (1):27–30
https://www.ahajournals.org/doi/10.1161/CIRCULATIONAHA.119.041015

https://hattramyloidosis.jp/evaluation_and_follow_up/heart/myocardial_troponin
タファミジ投与中のATTRwtアミロイドーシス患者101名に対し、バイオマーカ変化と心不全に起因する全死亡と入院の複合転帰との関連を評価した。追跡期間中央値17ヶ月で、16名(16%)の患者が複合アウトカムを経験した。
タファミジス投与開始後1年時点でのhs-cTnTおよびBNPレベルの増加頻度を複合アウトカムの有無で比較すると、複合アウトカムの患者はタファミジス投与後1年でBNPレベルの上昇する傾向が多かったがp=0.13と有意差は認めなかったが、複合アウトカムを持つ患者では、両方の上昇頻度(44%vs15%:P=0.01)が有意に高かった。

Kaplan-Meier生存率分析では、hs-cTnTおよびBNPレベルが上昇したサブグループは、hs-cTnTおよびBNPレベルが低下したグループと比較して、複合アウトカム出現リスクが有意に増加した。

hs-cTnTまたはBNP増加群は、安定群または減少群に比べて、複合アウトカムのリスクが高い傾向があった。hs-cTnTおよびBNPレベルの両方のレベルが著しく悪化した患者(>+10%)は、多の患者と比較して予後が悪い傾向にあった。

J Am Heart Assoc. 2024 May 21;13(10):e034518.
https://www.ahajournals.org/doi/10.1161/JAHA.124.034518
ATTRibute-CM研究のATTR-CM患者577名(平均78歳:18以上90歳以下)のsTTR(serum transthyretin)レベルを測定した。参加者は、2:1でAcoramidisとプラセボの投与に無作為に割り当てた。
ATTRwtが90.7%で、ほとんどが症候性心不全(NYHAⅡ71.7%、Ⅲ17.2%)を持ち、NACのステージⅠ:57.5%、Ⅱ;28.5%、Ⅲ:17.0%であった。sTTRレベルは、ベースラインで、プラセボ群23.4mg/dL、Acoramidis群23.2 mg/dL、全体23.3 mg/dLであった。
Acoramidis投与により28日以内にsTTRレベルが平均9.1mg/dL早期かつ有意に上昇し、30ヶ月間の治療期間を通じて維持された。全集団において、Waterfall plot解析では、Acoramidis治療とプラセボ治療群の間で早期ΔTTRに明確な差がみられ、Acoramidis治療群の大多数では、早期ΔTTRの増加を認め、プラセボ群の多くは早期ΔTTRの変化(-0.4mg/dL)が減少または最小限となった。

30ヶ月目時点でのベースラインsTTRレベルとACM発生率は、ベースライン時にsTTR≧20mg/dLの症例は、sTTR<20mg/dLの症例よりも生存確率が有意に良好であった。Acoramidis治療群では、早期ΔTTRの四分位数が増加すると生存率が段階的に増加した。

単変量Cox回帰モデルでは、変異の状態、NYHAⅡおよびⅢのベースラインが、以前の研究と同様のACMの悪化と有意に関連していた。
またベースラインsTTR高値(1mg/dLの増加HR:0.91)、および初期ΔTTR高値(1mg/dLの増加HR:0.96)が、ACMの改善と有意に関連していた。

ATTRibute-CM研究のデータを用いて、ベースラインTTRの増加は、生存率の向上と関連し、早期ΔTTRは既知の予測因子を調節した後でも、死亡率の低下と独立に関連していた。sTTRレベルが5mg/dL増加する毎に、ロジスティックモデルでは、30ヶ月までの死亡リスクが31.6%相対的に減少すると予測され、Cox比例ハザードモデルでは死亡リスクが26.6%の相対的減少が予測された。

JACC 2025 85 1911-1923
https://www.jacc.org/doi/10.1016/j.jacc.2025.03.542
参:アコラミジス
(ビヨントラ®)
加齢や何らかの遺伝子異常により肝臓で異常なTTRが産生され、血中に放出されると不安定な状態となり、異常な単量体となり、その異常なTTRの単量体が凝集することでアミロイドを形成する。

https://sys-amy.jp/ttr-plus/ttr
TTRにはV122I、T119M等の変異体があり、四量体の解離速度が速いもの(V122I、L55Pなど)はアミロイド形成を促進するが、解離速度が遅いもの(T119Mなど)はアミロイド形成に抑制的に働く。同定された変異体の中でもT119M変異はTAR四量体の本来構造の37倍安定化させると報告されている。

T119M変異保持者では非保持者と比較して、血漿TTRレベルが高く、脳血管疾患の発生率が低いとの報告がある。

ビヨントラ固有の結合は、T119M変異を模倣して折り、四量体をより緊密に結びつける。

ビヨントラは解離に関与する二つのサイロキシン結合部位の両方に入り込み、TTR四領外を安定化する。

https://beyonttra-alexion.jp/moa/t119m
TTRは、複数の臓器で重要な生理機能を果たす四量体タンパク質である。

TTRは、Aβモノマーおよびオリゴマーを切断するプロテオリシス活性があり、その除去に寄与していると考えられている。アルツハイマー病のマウスモデルによるin vitroの結果では、TTRテトラマーがAβモノマーに結合し、Aβオリゴマー化を妨げることが示された。四量体TTRは膜貫通LRP1レベルを増加させ、脳内のAβ除去に寄与する可能性がある。

ヒト網膜微小血管内皮の培養において、TTRはVEGFA/PI3K/AKT経路を阻害することで、高グルコース濃度による損傷細胞増殖、移動、血管新生の影響を緩和した。マウスにおいて、TTRの不全が、血漿グルコース濃度の上昇、グルコーストランスポーターであるGLUT1、GULT3、GULT4の発現減少、排出グルコーストランスポーG+IT2の発現増加、解糖系酵素ピルビン酸キナーゼMのレベル低下、およびミトコンドリア活性の障害を引き起こす。

Ann Med 2025 57 2536755
https://www.tandfonline.com/doi/full/10.1080/07853890.2025.2536755
2009年8月27日から2020年7月30日まで英国NAC(National Amyloidosis Cnetre)およびフランスのAmyloidosis Mondor Networkに通院するATTR-CM患者を対象に診断時、6~12ヶ月毎に全身評価を行った。
診断時NACXステージⅠのATTR-CM患者は879名(英国623名、フランス256名)で、109名(12%)がステージⅠa、549名(88%)がステージⅠbであった。
KM分析による中央値推定生存は、Ⅰaで100ヶ月を満たせず、Ⅰbでは75ヶ月であった(A)。英国のコホートに限定した場合はNACステージⅠaと対照群との間に生存率の差は認められなかった(B)。(軽症例では、健常人と予後が変わらない。)

Eur Heart J 2022 43 (27)2622-2632
https://academic.oup.com/eurheartj/article/43/27/2622/6591080?login=false
6つの国際アミロイドーシスセンターでの後ろ向き研究。
118名の患者(男性78.8%、中央値年齢66歳、ATTRwt68名57.6%、左室平均駆出率60.5%、平均左心室壁厚15.4mm、中央値追跡期間3.7年)でベースラインまたは追跡中に53名45%にTTR安定剤が投与された。
経過中38名の患者が臨床的HF(心不全入院または利尿剤を必要とするNYHAクラスⅡ以上へと進行)を発症し、2名が心臓移植を受けた。
初回評価からHF発症までの中央期間は3.05年で、1年、3年、5年目の累積発症率は、それぞれ8%、15%、27%であった。ATTRv患者におけるHFの追跡発症率(vs ATTRwt患者)は1年目、3年目、5年目で、それぞれ3.2%、8.5%、20%体47%であった。

追跡中に32名が死亡(突然死4名)した。11名の患者ではCV疾患ではなく、13名は死因が不明であった。
コホートの全生存率は、1年、3年、5年でそれぞれ96.5%、60.4%、82%であった。ATTRvとATTRwtの生存率はそれぞれⅠ年目97%vs96%、3年目90%vs91%、5年目81%vs82%であった。

56名の患者が追跡調査中にATTR特異的療法を受けた。53名がTTR安定薬で治療(13名:ジフルニサル、31名がタファミジス、9名が両方)され、13名が遺伝的サイレンサーで治療、2名が肝移植を受けた。
TTR安定剤による治療はHR:0.31と生存率を改善した



JACC Cardio Oncol 2022 4 442-454
https://www.jacc.org/doi/10.1016/j.jaccao.2022.07.007
2008年1月1日
無症状のATTR-CMから2023年12月31日尾までの間に12の専門照会センターからATTR心臓アミロイド浸潤と診断された患者を対象に、多施設国際後ろ向きコホート研究を行った。診断時に心不全の既往、心房症状の不在、利尿剤の治療がない無症状のATTR-CM患者660例を対象とした。
中央値37か月の追跡期間で、全死亡109名(22.5%)、心血管疾患死亡64名(13.2%)、心血管死または心不全入院の複合イベント93名(19.2%)であった。Grade1とGrade 2または3の取り込み患者の間で、全死亡率に統計的に有意な差は認めなかった。しかし、心血管死亡率、心血管死亡または心不全入院の複合イベントでは有意な差を認めた。日心血管死亡のリスクは逆にGrade 1に比べGrade 2および3ではリスクが有意に低かった。
無症状のATTR-CM患者は、シンチ集積が強いと心血管リスクが高いと考えられる。


JAMA Cariol 2025 10(5) 437-445
https://jamanetwork.com/journals/jamacardiology/fullarticle/2828909
参:
Perugini Grade of Cardiac Uptake:ピロリン酸シンチ(99mTc-PYP)
Perugini grading systemで評価
Grade 0:心臓への取り込みなし
Grade 1:肋骨よりも少ない取り込み
Grade 2:肋骨と同程度の取り込み
Grade 3:肋骨よりも多い取り込み
適切な臨床状況で、Mたんぱくスクリーニング院生なら、Grade 2、3ではATTR-CMの診断となる。
Grade 1の取り込みはAL-CMの約40%でも見られる。

ピロリン酸シンチを実施する際の適切な症例を選択するための「Kumamoto Criteria」があり、好感度TnT≧0.03、左室壁厚≧13.6㎜、QRS幅≧120msのうち、ピロリン酸シンチ陽性率は、2項目で63%、3項目で96%とされている。
参:
ATTR-CM診断基準(Kumamoto Criteria)を用いたスクリーニング法


Circ J 2019; 83: 1698 – 1708
https://www.jstage.jst.go.jp/article/circj/83/8/83_CJ-19-0255/_pdf/-char/en
2019年5月から2022年9月まで国立アミロイドーシスセンターでcadiopulmonary exercise testing(CPET)を受けたATTR心アミロイドーシスと診断された患者1045名中506名(平均73.5歳、男性457名90.3%)を対象として、追跡評価した(平均追跡期間22.4ヶ月)。
ATTR-CM(predominantly cardiac):394名、平均65.3歳、男性377名95.7%
ATTR-mixed phenotype(mix of both):92名、平均65.3歳、男性69名75.0%
ATTR-PN(predominantly neurologic):20名、平均48.3歳、男性11名55.0%

ピークVO2、予測ピークVO2、プーク負荷はATTR-PNに比べATTR-CMとATTR-mixedは有意に低かった。


合計326名64.4%の患者がECV(extracellular volume)マッピングを伴うCMR(cardiovascular magnetic resonance)を受け、心筋ECVを基準に心アミロイド浸潤の指標としてグループに分けた。すべての患者で予測ピークVO2は減少したが、心臓アミロイド浸潤が内科か軽度から中等度では粗食されるO2パルスは保持されたが、重度の浸潤のある患者では有意に減少した。



JAMA Cardiol 2024 9(4) 367-376
https://jamanetwork.com/journals/jamacardiology/fullarticle/2815660
2014年から2022年までの連続2356人のATTR-CM患者のうち260人(11%)にSGLT2阻害薬が投与された。このうちの220人(平均77歳、ATTRwt:82.3%、平均EF 45.8%)とpropensity-matched control(傾向スコアマッチング)症例220例を対照群とした。
12ヶ月後には、SGLT2阻害薬治療群は、未治療群と比較して心不全症状の悪化率の低下、血漿のNT-proBNP上昇の減少、eGFRの低下の減少に関係していた。

SGLT2阻害薬治療群は非治療群に比べ死亡率が減少した(29人:13.2%vs82人:24.7%)。
SGLT2阻害薬治療が全員死亡率、心血管死亡率、心不全入院リスクの低減、およびATTR-CM患者における心血管死亡率または心不全入院の複合アウトカムを減少させた。

JACC 2024 83 2411-2422
https://www.jacc.org/doi/10.1016/j.jacc.2024.03.429
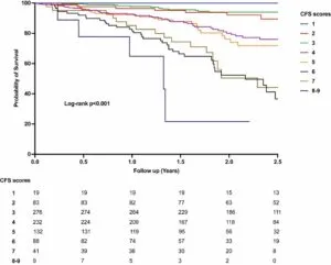
Clinical Frailty Scale(CFS)を用いて、ATTR-CM患者880名(中央年齢80歳、男性719名:81.7%)を評価した。
CSF1~3:378人43.0%、CSF4~5:364人41.4%、CSF6~7:129人14.7%、CSF8~9:9人1.0%に分類した。
NT-proBNPレベルは、それぞれ2058、2919、3728、5417pg/mL、LVEF%はそれぞれ、50%、49%、48%、40%、E/E‘はそれぞれ15.1、15.7、16.6、16.6であった。

CSF順序数クラスによる生存分布は、100人年あたり、それぞれ、2.9人、11.0人、21.1人、40.9人であった。

虚弱はATTR-CA患者おいいても一般的であり、死亡リスクの独立した危険因子であった。
従来のマーカーと併用して虚弱評価を組み込めば、遺伝子型や疾患重症度、特に短期的なリスクの推定に役立つ。
J Am Coll Cardiol Cardio Onc. 2025 7 (3) 268–278.
https://www.jacc.org/doi/full/10.1016/j.jaccao.2025.01.018
参:Clinical Frailty Scale(CFS)臨床虚弱尺度

J Am Med Dir Assoc 2013; 14(6): 392-397.
https://www.jamda.com/article/S1525-8610(13)00182-5/abstract
日本老年医学会が認知症のある人々の虚弱をスコア化したClincal Frailty Scaleの日本語版が公開された。(日本老年医学会 2021年12月16日)
患者さんの容姿や問診から確認できる主観的な評価で、CSF1~3はADL自立、CSF4~5は要支援、CSF6~8は要介護の場外でCSF9はADLに関係なく「式が近づいている状態」である。
https://www.jpn-geriat-soc.or.jp/tool/pdf/tool_14.pdf

参考サイト
2020年版 心アミロイドーシス診療ガイドライン
https://www.j-circ.or.jp/cms/wp-content/uploads/2020/02/JCS2020_Kitaoka.pdf
日本アミロイドーシス学会
https://www.amyloidosis.jp/guideline.html





















